|
|
|
LS-1-CAL能量校準燈
 |
LS-1-CAL和HL-2000-CAL鹵素校準能量燈用于校準輻射系統的絕對光譜響應。通過該NIST標定的光源和OOIIrrad-C輻射測量軟件一起使用,可以測定波長范圍為300-1050nm的絕對強度值。
- 在300-1050nm范圍內符合NIST的標定。 提供絕對光譜強度測量,測量單位為μW/cm2/nm
- 適用于光纖。可以在裸光纖、加CC3的光纖及積分球上用來標定。
- 標定證書。定標數據通過紙張打印和電子版本兩種方式提供,可以用在OOIIrrad-C的輻射測量軟件上。
查看波長校準汞燈HG-1
查看紫外可見能量校準燈DH2000-Cal |
與光纖和余弦校正器一起進行校準
LS-1-CAL和HL-2000-CAL專用于標定一個由光譜儀和光纖和/或CC-3-UV余弦校正器所組成系統的絕對光譜響應。
|
|
與積分球一起校準
LS-1-CAL-INT 用于標定使用FOIS-1積分球的系統的絕對光譜響應。LS-1-CAL-INT
使用的是聚四氟乙烯的光散射材料。 |
 |
附件
LS-1-CAL帶12VDC電源。也包括了一個定標證書和一帶數據文件的光盤,及OOIIrrad-C輻射光譜軟件。
其它校準服務
LS-1-CAL提供50小時的可操作時間,之后需要重新校準,我們提供返場重新校準服務。LS-1-CAL適用的光譜范圍為300-1050nm,低于此范圍的的光譜儀系統,見DH-2000-CAL(210-1050
nm)。
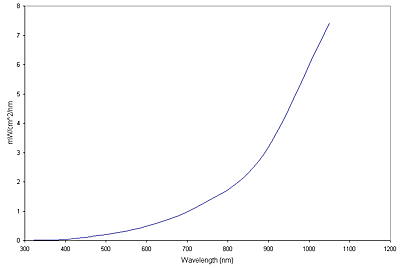
LS-1-CAL光譜輸出
LS-1-CAL (LSC712) 光纖輸出
LS-1-CAL (LSC712) CC-3輸出
LS-1-CAL and HL-2000-CAL SPECIFICATIONS
| Spectral
range (calibrated): |
300-1050
nm (calibrated) |
| Power
consumption: |
600 mA @ 12 VDC
|
| Power
output: |
6.5
watts |
| Bulb
life: |
900 hours (recommend recalibration after 50 hours of use)
|
| Recalibration: |
Required
after ~50 hours of operation |
| Bulb
color temperature: |
3100 K
|
| Output
to bulb: |
5
volts/1.3 amps |
| Output
regulation: |
0.2%
voltage |
| Time
to stabilized output: |
~30
minutes |
| Connector: |
SMA
905 for fiber; 6.35-mm barrel for cosine corrector; PTFE plug
for integrating sphere |
|